该教程以随机选择的标本初始化,显示在“Specimen Image”窗口(黑框)中,并以目镜的孔径或投射聚光镜的视场光阑为界。指定CCD尺寸(默认2/3英寸)的彩色矩形叠加在图像上,以显示成像芯片所捕获样品的实际区域。在样本图片左侧灰色、黄色和红色的方框中,图像的显微镜光学分辨率(灰色)、CCD所需像素尺寸(黄色)、最佳CCD阵列尺寸(黄色)、显示器的放大倍率(红色)和总放大倍率(红色)以微米或乘积显示,这些数值会随着下方滑块的拖动而持续更新。通过样本图片下方的单选按钮,可以选择新的CCD格式(尺寸)。所选传感器的物理CCD尺寸(以毫米为单位)沿着与成像芯片具有相同长宽比的矩形一起显示在样本图片的右侧。
操作该教程,请移动数值孔径(Numerical Aperture)和物镜放大倍率(Objective Magnification)滑块,以为需要考虑的显微镜光学配置设置适当的数值。接着,选择一个目镜或投射聚光镜的视野数(从18~26毫米)和视频耦合器(中继镜)的放大倍率(从0.5x~1.0x之间)。耦合器滑块被移动时,叠加在样本图片上的矩形的大小随之改变,以匹配CCD传感器所捕获的样本区域。可以用“Choose a Specimen”下拉菜单随时选择一个新的标本。
将光学显微镜产生的图像捕获至CCD或CMOS图像传感器上的光电二极管阵列的效率取决于多个因素,从物镜放大倍率、数值孔径和分辨率、电子图像传感器光电二极管阵列的尺寸、长宽比、摄像中继镜倍率,以及阵列中各个光感元件的尺寸。此外,还必须考虑用于成像的特定样本的参数,例如对比度、信噪比、场景内动态范围和积分时间。
CCD最终的光学分辨率取决于光电二极管的数量和它们相对于显微镜光学透镜系统投射到成像阵列表面上图像尺寸的函数所决定,当前可用的CCD阵列随着尺寸的变化,从几百至数千像素。用于科研设备中的现代阵列尺寸范围从1000×1000到5000×5000个传感器元件。消费级和科学级CCD的发展趋势是传感器尺寸持续减小,目前,具有小至4×4微米光电二极管的数码相机已经面市。
只有为每个可分辨单元制作至少两个样本,才能实现用显微镜的光学元件对样品成像的足够的分辨率,尽管许多研究人员更愿意为每个可分辨单元提供三个样本以确保足够的采样。在诸如显微镜这一类受限于衍射的光学仪器中,当使用数值孔径为1.4的物镜时,在平均可见光波长(550纳米)处的光学分辨率的阿贝极限为0.2微米。在这种情况下,首选7×7微米的传感器尺寸,10平方微米的传感器尺寸刚好足够大,以让光学和电子分辨率进行匹配。尽管CCD成像传感器中更小的光电二极管可以提高空间分辨率,但同时它们也限制了设备的动态范围。

表一:匹配显微镜光学分辨率所需的像素尺寸
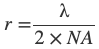
在用显微镜观察时,图像通常由光学系统投影到探测器表面,该探测器可以是人眼的视网膜、电图像传感器或者传统胶片上的光敏化学乳剂。为了优化所得到的图像的信息内容,探测器的分辨率必须与显微镜的分辨率紧密匹配。用于生成样品图像的可见光波长光谱是决定显微镜光学分辨率性能的决定性因素之一。与较长的波长(大于500纳米)相比,较短的波长(375~500纳米)能更大限度的解析细节。空间分辨率的极限还取决于通过光学系统的光的衍射,该术语通常称为衍射极限分辨率。研究人员推导出了几个方程,这些方程被用来表达数值孔径、波长和光学分辨率之间的关系:
![]()


其中 r 是分辨率(两个样本点之间的最小可分辨距离),NA 等于物镜的数值孔径,λ 等于波长,NA(Obj)等于物镜的数值孔径,NA(Cond)是聚光镜的数值孔径。注意公式(1)和(2)的乘积因子不同,公式(1)为0.5,公式(2)则为0.61。这些方程式基于多种因素,包括光学物理学家为解决物镜和聚光镜的特性而进行的各种理论计算,不应视为任何一般物理定律的绝对值。假设当两个点光源中的其中一个所产生的Airy斑,与第二个Airy斑的衍射图像的一阶反射重叠时,这两个点光源可以被解析(分别成像)的条件被称为瑞利标准。在某些情况下,例如共聚焦、多光子荧光显微成像,分辨率实际上可能超过了这三个方程式中任何一个所设定的极限。其他因素(比如:较低的样本对比度,不正确的照明等)可能会降低分辨率,并且现实中 r 的最大值(使用中光谱波长550纳米时大约为0.20微米)和1.35~1.40的数值孔径往往很难实现。
当显微镜完美对中,并且物镜与载物台下的聚光镜匹配恰当时,可以将数值孔径的值代入方程式(1)和(2),结合额外的结果方程式(3)简化为方程式(2)。要注意的一个重要概念,放大倍率并没有作为一个因子出现在这些方程式中,因为只有数值孔径和照明光的波长决定了样品的分辨率。如上所述(也可以从方程式中观察到),照明光的波长是显微镜分辨率的重要因素。波长越短,分辨率越高( r 的值越小),反之亦然。光学显微镜中最高的解析能力是由近紫外光实现的,这是最短的有效成像的波长。在可以解析样品的细节的能力上,近紫外光之后是蓝色,然后是绿色,最后是红色。在大多数情况下,显微镜用户使用钨卤素灯泡产生的广谱白光进行样品的照明。可见光谱的中心位于大约550纳米,这是绿光主要的波长(我们眼睛对绿光最为敏感)。该波长在本教程和表1中被用来计算分辨率值,数值孔径值在这些方程式中同样重要,更高的数值孔径可以获得更高的分辨率(见表1)。
撰稿人:
Matthew J. Parry-Hill, Kimberly M. Vogt, John D. Griffin, and Michael W. Davidson – National High Magnetic Field Laboratory, 1800 East Paul Dirac Dr., The Florida State University, Tallahassee, Florida, 32310.
